メインコンテンツへスキップ
Stresses 作成 編集

梁要素の応力度(PC)

機能

  • PC梁要素の斜引張応力度をチェックします。斜引張応力度は、PC断面に対してせん断鉄筋を適用した要素に対してのみ表示されます。斜引張応力度はテーパー断面に対しては計算されません。

 

経路

メインメニュー:[結果]タブ > [タイプ : 一般] > [結果表示]グループ > [応力度] > [梁要素の応力度(PC)]

 

入力

梁要素の応力度(PC) ダイアログボックス

 


荷重ケース/組合わせ

希望する荷重条件や荷重の組み合わせ条件を選択します。

荷重の組合わせを新規入力、修正、または追加する場合は、右側の....pngボタンを利用します(”結果>タイプ:一般>荷重組合せ>荷重組合せ”を参照)。

ステップ

解析結果を出力するステップを指定します。幾何学的非線形解析における荷重増分、および施工段階解析や施工段階別の水和列解析で定義した追加ステップを指定します。

NOTE.png 施工段階解析結果の出力で使用する施工段階は、ステージツールバーより選択できます。

 


断面位置

断面に表示されている位置の中から、斜引張応力度の結果を出力する位置を選択します。

位置 1~16 : 応力度の出力位置

1~4 : 断面の最外郭

7, 8 : 断面の中立軸位置、鉄筋とPC鋼材の影響を考慮した中立軸

5, 6, 9, 10 : 断面の定義時に入力したZ1、Z3の位置、Z1、Z3の位置は、別途の設定をしない場合、腹部の上下端が自動的に設定されて使用者が直接調整することができます。

NOTE.png PC断面にPC鋼材と鉄筋が入力されている場合、これを考慮した中立軸を基準に応力度が出力され、中立軸の計算時にPC鋼材と鉄筋の反映可否を選択することができます。施工段階と完成系で同じ中立軸を基準に応力度の結果が出力されます。

最大 : 10個の出力位置の中で最大応力度

最小 : 10個の出力位置の中で最小応力度

最大/最小 : 移動荷重解析、支点沈下解析のように最大、最小の荷重ケースが出力される荷重の組み合わせでは、最大と最小の応力度結果を同時に出力。最大の応力度結果は最大荷重ケースの最大値、最小の応力度結果は最小の荷重ケースの最小値を出力

最大値 : 16個の出力位置の中で絶対値が最大の応力度を出力

 


応力度成分

出力する応力度成分を次の中から選択します。

Sig-xx (軸力) : 軸力による要素座標系x軸方向の応力度

Sig-xx (曲げ-y) : 要素座標系y軸まわりのモーメントによる要素座標系x軸方向の応力度

Sig-xx (曲げ-z) : 要素座標系 z軸まわりのモーメントによる要素座標系x軸方向の応力度

Sig-xx (せん断鋼棒) : せん断鋼棒によるx軸方向の応力度

Sig-xx (合計) : x軸方向応力度の和 (軸、曲げ-y、モーメント-z、せん断鋼棒)

Sig-zz : 要素座標系z軸方向の応力度

Sig-xz(せん断) : せん断力とせん断鋼棒によるせん断応力度の和

Sig-xz(ねじり) : ねじりによるせん断応力度

Sig-xz(せん断鋼棒) : せん断鋼棒によるせん断応力度

NOTE.png 1. せん断応力度の計算時、せん断厚はPC断面の定義で入力したせん断検討位置のせん断厚を使用します。使用者が厚さを入力していない場合は厚さを自動計算します。

2. 施工段階荷重のうち、CS:PC鋼材 1次とCS:合計でせん断鋼棒によるせん断応力度が計算されます。 もし、PC鋼材が入力されていないモデルではCS:合計でのみ適用されます。

 

Sig-Ps1 : 最大主応力度

Sig-Ps2 : 最小主応力度

Sig-Is(せん断) : ねじりによるせん断応力度を除く斜引張応力度

Sig-Is(せん断+ねじり) : ねじりとせん断力によるせん断応力度を全て考慮した斜引張応力度

NOTE.png 応答スペクトル荷重による応力成分は、各モードで得られた結果に基づいて組み合わせ方法(SRSS、CQC、ABS)を選択して計算されます。

 

各応力度成分の計算方法は次の通りです。

Sig-xx(合計)

要素座標系x軸方向の和

- 応力検討位置における要素座標系x軸方向の応力度

- せん断鋼棒による要素座標系x軸方向の応力度

Sig_zz

せん断鋼棒による要素座標系z軸方向応力度の和

Sig-xz(せん断)

せん断力とせん断鋼棒によるせん断応力度の和

(at 1, 4, 5, 7, 9 points)

(at 2, 3, 6, 8, 10 points)

- せん断力によるせん断応力度

- せん断鋼棒によるせん断応力度

Sig-xz(ねじり)

ねじりによるせん断応力度

Sig-xz(せん断鋼棒)

せん断鋼棒によるせん断応力度

Sig-Is(せん断)  

せん断応力度による斜引張応力度

Sig-Is(せん断+ねじり)  

せん断力とねじりによるせん断応力度の両方を考慮した斜引張応力度

Sig-Ps1  

最大主応力度

Sig-Ps2  

最小主応力度

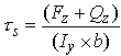
ここに,

T = せん断鋼棒のPe

b = 当該位置におけるせん断検討用の厚さ

a = せん断鋼棒の間隔

= せん断鋼棒の勾配

= ねじりによるせん断応力度の計算用の係数

: PC断面内の閉断面の面積

: PC腹部の最小厚さ

面積は、鉄筋とPC鋼材の両方考慮した換算断面積を使用します。

 

NOTE.png 1. 支点沈下荷重グループや移動荷重解析制御など、荷重位置が固定されていない場合は、各部材の最大/最小部材力(Fx、Fy、Fz、Mx、My、Mz)の同時発生に基づいて最大/最小主応力度が計算されます。結果として得られる12組の最大/最小主応力度のうち、最大/最小値が最大/最小応力度として出力されます。梁要素の応力度(PC)は、部材力の同時発生に基づいて応力度を計算しますが、梁要素の応力度は各応力成分の影響解析を個別に考慮するため、応力結果が異なる場合があります。

2. 移動荷重に対するPC応力度は、「解析> >解析制御>移動荷重」の”一般+ 同時性断面力/応力”オプションがオンになっている場合にのみ出力されます。

3. 使用者がPC鋼材データを入力した後にプレストレス荷重を適用しない場合、または施工段階でPC鋼材を考慮しない場合は、PC鋼材が考慮されるPC設計とは異なり、応力解析はPC鋼材を考慮せずに実行されます。

4. 施工段階での応力結果は、その段階に固有の断面特性を使用して計算され、各段階で使用された断面特性は「各段階での要素特性」の下に表形式で出力されます。

NOTE.png 応力出力位置(位置 1~10)はPC断面の定義時に指定したせん断検討位置で出力されます。せん断検討位置を別途指定していない場合は、プログラム内で自動計算します。断面形状別のせん断検討位置はPC断面を参照してください。

   

 


表示形式

出力形式を次のように指定します。

 

1.コンター図

梁要素に発生した応力度をコンター形式で表示します。

....png

範囲 : コンターの範囲を定義します。

 範囲調整 : コンター輪郭の色の分布範囲を割り当てます。この機能を使用すると、特定の範囲に

 特定の色を割り当てることができます。

NOTE.png

コンター図の最小/最大値の範囲が結果値の最小/最大より大きい場合があります。コンター図範囲の値が結果値を超えると、ランク0およびランク11に入力されます。

 色数 : コンターの色数を制御します(6、12、18、24色から選択)。


色相 : コンターの色を制御します。

 色相表 : カラーの種類を指定します。

 色相表の調整 : コンターの区域別の色を指定します。

 

 コンター図の反転 : コンターの色の変化順序を反転します。

コンターライン : コンターラインの色を指定します。

要素エッジ : 要素エッジの色を指定します。

  

 

コンター図オプション : コンター図の表示オプションを指定します。

 塗りつぶし

  グラデーション : コンターの色の変化をスムーズに表示します。

  

  コンターラインの表示 : コンター色の境界をラインで表示します。

  

 塗りつぶしなし
 コンターラインのみを表示します。

  単色線 : コンターラインをモノグロカラーで表示します。

  

 コンター値の表示
 コンターの範囲を示す凡例または注釈が表示されます。

  間隔 : 凡例または注釈の間隔を指定します。

  

 コンター図の高速表示 (大型板/ソリッド要素に適用)

 コンター図を示すのに必要な時間を短縮するために、板またはソリッド要素の大型モデルに対して 

 単純化されたコンター図を表示します。

 

拡張変換

切断面に沿って板要素またはソリッド要素のコンターラインを表示する場合、3次元のコンターラインが生成されます。解析結果の正の方向は、局所要素座標系のz軸方向に向けられます。

このオプションは、変形オプションと同時に適用することができません。同様に、陰線除去表示オプションを使用して板要素の厚さを表示したり、両方オプションを使用して上部および下部の部材力(応力)を表示する場合には、このオプションと同時に適用することができません。

 

2.変形

モデルの変形形状を表示します。

....png

変形図の倍率
作業画面にグラフィックで表示される変位の大きさを拡大または縮小します。

変形の表示方法
以下から変位に対する表示方法を指定します。

折れ線 : 節点変位だけで変形形状を表します。

なめらか : 梁要素の場合、要素両端の節点変位を長さ方向に沿って正確に計算して表します。

実際寸法変位(自動スケール off) : 変形量を任意に拡大・縮小せずに実際の変形量をそのままグラフィックで出力します。主に大変形を考慮した幾何非線形解析時に適用します。

相対変位 : 最小の節点変位を"0"とし、これに対する相対変位をグラフィック表示します。

 

3.数値

応力度の値を作業画面に表示します。

数字のフォントと色は、”ディスプレイオプション”で設定できます。

....png

 小数点以下桁数 : 表示する数字に小数点以下の桁数を指定します。

 指数 : 指数形式で表示します。

 最小 & 最大 : 最大値と最小値を表示します。

 最大絶対値 : 最大絶対値を表示します。

 最大 : 最大値のみを表示します。

 最小 : 最小値のみを表示します。

 制限値(%) : 選択した最大値または最小値に対する応力度の画面表示の制限を設定します。

 傾斜角度 : 数値を表示する角度を指定します。

NOTE.png

デフォルトの小数点以下桁数は、「プロジェクト>プレファレンス」で制御できます。
傾斜角度 = 0 の場合、数値を節点または要素の右側に水平に表示します。
ここでの角度は反時計回りを基準とし、数字の読みやすさを向上させるために使用します。

 

4.凡例

作業ウィンドウの右または左に、解析結果に関連するさまざまな参照を表示します。

最大および最小の結果を持つ節点や要素番号が表示されます。

....png

凡例の位置 : 作業画面における凡例の表示位置を示します。

数値表示形式 : 凡例の値のタイプと小数点以下桁数を指定します。

 

5.アニメーション

モデルの変形過程を動的に表現します。適用ボタンをクリックし、作業画面下端のアニメーションコントロールの右側にある録画ボタンをクリックします。

....png

アニメーションのモード : 解析結果に対するアニメーションのタイプを設定します。

コンター図のアニメーション : アニメーションの変形量によって、変形を表現するコンター図の色を変更するかを指定します。

半周期/全周期を繰り返す : 変移過程の繰返し周期を選択します。

NOTE.png
構造物の形状に対しては「半周期」を選択し、振動モードや座屈モードに対しては「全周期」を選択します。

AVIオプション : アニメーション ウィンドウを生成するために必要なオプションを入力します。

1ピクセルあたりのビット数 : アニメーションのデフォルトウィンドウを作成するためのピクセル

あたりのビット数

ストリームの圧縮 : 映像データを圧縮する方法

半周期当たりのフレーム数 (3~300) : 「半周期」を表現するフレーム数

1秒当たりのフレーム数 (5~60) : 動的シミュレーションを表現する1秒あたりのフレーム数

施工ステージオプション : 施工段階解析結果に対するアニメーションを作成する際のオプションを選択します。

ステージアニメーション : 施工段階別のアニメーションを作成します。

現在ステージ/ステップ : 現在の施工段階/ステップにおけるアニメーションを作成します。

始 ~ 終 : アニメーション作成の開始と終了の施工段階やステップを指定します。

 

6.変形前

モデルの変形前の形状と変形後の形状を重ねて表示します。

 

7.ミラー

1/2または1/4モデルで解析した結果を、対称面にコピーしてフルモデルの結果に拡張します。

....png

1/2モデルの結果 : 1/2モデルの場合に選択します。

1/4モデルの結果 : 1/4モデルの場合に選択します。

対称面 : 対称面に対して拡張表示する際に基準となる全体座標系の平面を定義し、当該平面に垂直な軸方向の座標値を入力します。

 


数値を表示する断面

梁要素の応力度を数値で出力する位置を指定します。

I : 梁要素の始節点(N1)で発生する応力度を数値で表示します。

中央 : 梁要素の中央で発生する応力度を数値で表示します。

J : 梁要素の終節点(N2)で発生する応力度を数値で表示します。

最大値 : 梁要素を4等分した位置で発生した応力度の内、最大値を要素の中央に数値で表示します。

全て : 梁要素の始点、終点で発生した応力度と上記の最大応力度を同時に数値で表示します。

0
コンテンツが役に立ちましたか?