주 콘텐츠로 건너뛰기
Plug-in Item 생성 편집

Alignment Generator

Intro

This plugin generate complex alignment including arc or clothoid/cubic parabola using Alignment Creator Plug-in.

 

  • It automates the creation of intricate alignments, eliminating the need for manual calculations and input.

  • The plugin aligns horizontal inertial forces to the nearest orientation of each pier, based on the global coordinate system or user-defined angles.

  • This is particularly advantageous for modeling complex bridge geometries, such as curved bridges and ramps, where misalignment between the piers and the global coordinate system can complicate seismic analysis workflows.

 

Developed with

  • MIDAS CIVIL NX 2024 (v1.1) US

 

Benefits of this plugin

Traditionally, structural engineers used CAD tools to prepare global analysis projects, involving repetitive workflows like dividing alignments, defining span lengths and bearing locations, and exporting files to MIDAS CIVIL NX. This process was time-consuming and prone to human error, even with tools like Lisp or AutoCAD VBA. The Alignment Generator Plugin eliminates these cumbersome steps by automating alignment creation directly within MIDAS CIVIL NX, saving time, reducing errors, and streamlining the entire workflow.

 

How to use this plugin?

 

CA 3.png

[Alignment Generator - Segment Setting]

  • The user can add(1), select Line types(2), length, start, and end radius(3). In the segment setting, the user will input the distance between created nodes(=length of elements). The users can set up each segment’s Structure group, Material, and Section ID(4). The bottom of the graph(5) changes and previews the users’ inputs.
  • *Be careful: (a)The segment doesn’t need the same number of inputs as alignment. (b) The total length of segments should be less than alignments.

Untitled.png

[Alignment Plugin - input information]

  • After inputting alignment information, press the Create button. Then, MIDAS CIVIL NX will create nodes, elements, and a local axis as below.
  • *Be careful: Section and Material should be created before starting the plug-in. The Standard Node Point is (0,0,0) in GCS, and the node number will increase in the X(+) direction. This plug-in runs only in an X-Y plane.

Untitled (1).png

[Alignment Plugin - Radius Changes]

  • For the next step, the user can easily update this created alignment. If the Radius value changes, just input new values and click the Create button again.

CA5.png

[Plugin Help Desk]

  • If the users wonder while using the plug-in, they can also check the plug-in information by clicking the help icon.

Note

The plug-in uses internal Spiral Calculating functions as follows:

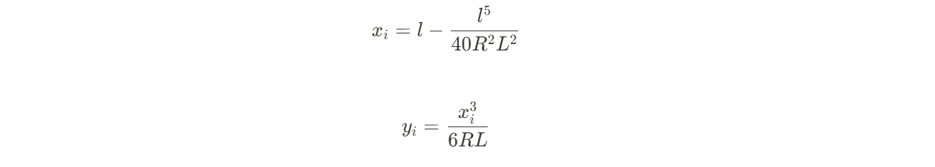
The Clothoid:

5.png

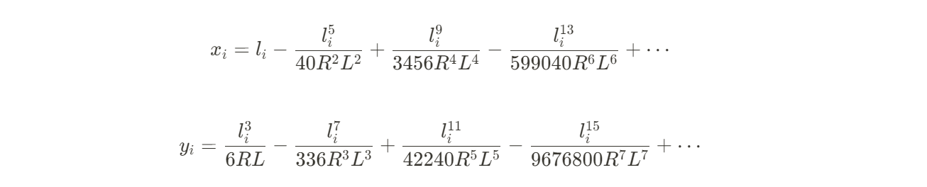
Cubic Parabola:

6.png

 

Conclusion

.The Alignment Generator plugin can save users struggling time and eliminate potential human error possibility in the CAD working process. The user only needs to input alignment types, radius, and segment distances.

0
컨텐츠가 도움이 되셨나요?